بعد خفض الوديعة الدولارية.. ننشر قوائم السيارات المعفاة من الجمارك
وفق التعديلات الأخيرة لمبادرة منح تيسيرات للمصريين المقيمين بالخارج
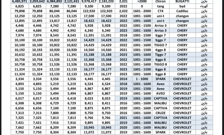
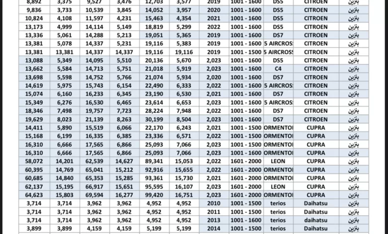
بعد التعديلات الأخيرة الخاصة بمبادرة منح تيسيرات للمصريين المقيمين بالخارج بشأن استيراد السيارات؛ والتي وافق عليها مجلس الوزراء الأسبوع الماضي، تمت تعديل قوائم السيارات المعفاة من الجمارك مقابل الوديعة الدولارية الموجودة على تطبيق سيارات المصريين بالخارج.
تخفيض قيمة الوديعة الدولارية
واشتملت القوائم الجديدة على عدد 2500 سيارة تمت إتاحتها داخل المبادرة، كما شهدت القوائم الجديدة تخفيض قيم الودائع الدولارية بعد تعديلها بما يتناسب مع فئات إمكانيات السيارات لتتضمن قيم أساسية ومتوسطة وعالية بحسب عدد الكماليات.
وكانت التعديلات الأخيرة قد تضمنت إلغاء شرط إيداع المبلغ الواجب سداده قبل التحويل بثلاثة أشهر على الأقل، ليتم الاكتفاء بتقديم كشف حساب بنكي عن الستة أشهر السابقة على تاريخ التحويل مُبينًا فيه حركات الإيداع والسحب والتحويل، وكذلك إلغاء شرط التصديق على مستندات الإقامة وكشف الحساب البنكي وشهادة بيانات السيارة لدى وزارة الخارجية من خلال السفارات والبعثات الدبلوماسية بالخارج، ومن جانبها أعادت وزارة المالية تقييم السيارات وفقاً لفئات الكماليات، في استجابة لمطالب المصريين بالخارج.



